Get Adobe Flash player

Приклад №8

Приклад.

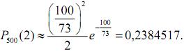
У фірмі працює 500 співробітників. Знайти ймовірність того, що у двох співробітників день народження припаде на новий рік, вважаючи, що ймовірність народитися у фіксований день становить 1/365.

Розв'язання. Маємо: n=500, p=1/365, λ=np=500/365=100/73, k=2;

Обчислення ж за біномною формулою дають P500(2)=0,2388347. Бачимо, що |P500(2)-0,2384517|=0,000383<0,003753=np2.

Отже, оцінка (3) в даному випадку правильна.

Локальна формула Муавра-Лапласа. Нехай імовірність успіху в кожному з п незалежних випробувань за схемою Бернуллі рівна p, 0n(k) появи k успіхів в п випробуваннях обчислюється за наближеною формулою:

де − функція Гаусса.

При цьому встановлено, що відносна похибка формули (4) наближається до нуля, коли .

Функція Гаусса табульована. В більшості підручників наведено значення ϕ(x) для 0≤x≤3,99. Для обчислення значень ϕ(x) при від'ємних значеннях -3,99≤x≤0 використовуємо парність функції ϕ(x), а для |x|>3,99 приймаємо, що ϕ(x)=0.

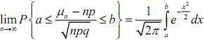
Інтегральна теорема Муавра-Лапласа. Нехай імовірність успіху в кожному з n незалежних випробувань за схемою Бернуллі рівна p, 0n– кількість успіхів в п випробуваннях. Тоді

для всіх а, b.

Спираючись на цю теорему, для великих значень п записують наближену формулу для ймовірності P{k1≤µn≤k1. Щоб отримати її, введемо позначення

Тоді

де

Для простішого запису отриманої наближеної формули вводять функцію Лапласа

Оскільки

то остаточно отримаємо