Get Adobe Flash player

Лекція 7. Послідовність незалежних випробувань за схемою Бернуллі. Біномна формула. Біномний розподіл

Припустимо, що проводиться певна кількість однакових випробувань, у кожному з яких можливі лише два несумісні результати: деяка подія А може відбутися або не відбутися. Наприклад, коли підкидаємо 10 разів монету, то за кожного підкидання монети випаде або герб (подія А), або цифра (подія )

Означення. Випробування називаються незалежними стосовно деякої події А, якщо ймовірність цієї події в кожному випробуванні не залежить від результатів інших випробувань.

Означення. Серія повторних незалежних випробувань з одним із можливих результатів А або  , у кожному з яких подія А має одну і ту саму ймовірність P(A)=p, називається схемою Бернуллі.

Отже, якщо випробування проводяться за схемою Бернуллі, то в кожному з них можливий тільки один з двох результатів: А (успіх) або   (невдача), до того ж імовірності P(A)=p i P(  )=1-p=q є однаковими в кожному випробуванні.

Позначимо через µn кількість успіхів (кількість появ події А) в серії із n послідовних незалежних випробувань за схемою Бернуллі і обчислимо ймовірність того, що кількість успіхів в n випробуваннях рівна k P{µn=k}=Pn(k), за умови, що ймовірність успіху в кожному окремому випробуванні P(A)=p. Подію {µn=k} можна записати у вигляді

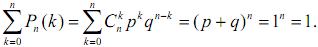
Беручи до уваги незалежність випробувань, маємо, що ймовірність кожної з подій-доданків у правій частині рівна pkqn-k. Всі ці доданки – попарно несумісні події, а їхня кількість рівна кількості перестановок з повтореннями множини з n елементів, серед яких k елементів першого типу і n-k елементів другого типу, тобто

Застосовуючи аксіому адитивності, одержимо:

Формула (1) називається біномною формулою або формулою Бернуллі. Вона виражає ймовірність того, що кількість успіхів в серії з n послідовних незалежних випробувань за схемою Бернуллі дорівнює k.

Набір чисел Pn(k) (k=0,1,...,n) називають біномним розподілом.

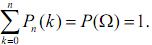
Події {µn=0}, {µn=1}, {µn=n} утворюють повну групу попарно несумісних подій, отже, {µn=0}+{µn=1}+...+{µn=n}= Ω, тому

Цю формулу можна також отримати й безпосереднім обчисленням

Приклад.

Кубик кидають 5 разів. Обчислити ймовірність випадання чотирьох шісток.

Розв'язання. Тут n=5, k=4, p=1/6, q=5/6. За допомогою біномної формули отримуємо:

Найімовірніша кількість успіхів у випробуваннях за схемою Бернуллі

Теорема. Найімовірніша кількість успіхів k0 в n випробуваннях за схемою Бернуллі задовольняє умову np-q≤k0≤np+p. Якщо np-q − неціле, то є одне таке значення k0, якщо np − q − ціле, то таких значень два.

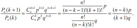
Доведення. Розглянемо відношення

Отже, Pn(k+1)>Pn(k), якщo (n-k)p>(k+1)q, тобто np-q>k(p+q)=k. Тому

Це означає, що зі зростанням k величина Pn(k) спочатку зростає до певного максимуму, а потім спадає. Знайдемо, при якому k досягається максимум. Можливі два випадки.

1) np − q − неціле число. Тоді число np - q + 1 = np + p, також неціле і існує єдине ціле число k0 , що задовольняє умову np - q ‹ k0 ‹ np + p. Покажемо, що k0 − найімовірніша кількість успіхів, тобто що Pn(k) досягає найбільшого значення при k=k0. Справді, оскільки k0-1 ‹ np - q, то згідно з першим співвідношенням (2) Pn(k0)>Pn(k0-1), а оскільки k0>np-q, то із третього співвідношення (2) випливає, що Pn(k0+1) ‹ Pn(k0). Звідси дістаємо, що Pn(k0)>Pn(k) для всіх kk0, тобто k0 − найімовірніша кількість успіхів.

2) np - q - ціле число. Покладемо k1=np-q, тоді k1+1=np-q+1=np+p. Згідно з другим співвідношенням (2) Pn(k1+1)=Pn(k1). Через те, що k1-1 ‹ np-q i k1 +1 ‹ np-q, то відповідно з першого і третього співвідношень (2) випливає, що Pn(k1)>Pn(k1-1) i Pn(k1+2) ‹ Pn(k1+1). Отож у цьому випадку є два найімовірніші значення: k=k1 i k=k1+1.

Отже, в загальному випадку np-q≤k0≤np+p.

Приклад.

Кубик кидають 5 разів. Яка найімовірніша кількість випадань шістки?

Розв'язання. Тут n=5, p=1/6, q=5/6, np=5/6, np-q=0, np+p=1.

Отже, 0≤k0≤1, і найімовірнішими є два значення кількості випадань шістки: k0=0 i k0=1.