Лекція 13. Нерівність Чебишова
I форма нерівності Чебишова. Якщо випадкова величина Х може набувати лише невід'ємні значення (X≥0) і має скінченне математичне сподівання, то P{X≥1} ≤ E(X).
Доведення. Нехай Х – дискретна випадкова величина, яка набуває значення xi≥0 з імовірністю pi (i=1,2,...), тоді згідно з аксіомою адитивності:
![]()
Для неперервної випадкової величини Х зі щільністю розподілу p(x) маємо:

Теорему доведено. II форма нерівності Чебишова. Якщо випадкова величина Х має скінченні математичне сподівання E(X) та дисперсію D(X), то для будь- якого числа ε>0 виконується нерівність
![]()
і, крім цього,
![]()
Доведення. Для будь-якого числа ε>0 розглянемо випадкову величину

![]()

![]()
Але ж нерівності
/
Оскільки подія {|X-E(X)|<ε} протилежна до події {|X-E(X)|≥ε}, то
/![]()
Збіжність послідовності випадкових величин за ймовірністю
Нехай задана послідовність випадкових величин X1,X2,...,Xn,...Кажуть, що ця послідовність збігається за ймовірністю до числа а, якщо за необмеженого збільшення n імовірність події {| Xn - a |< ε}, (де ε>0 − як завгодно мале фіксоване число) наближається до одиниці, тобто
![]()
Збіжність за ймовірністю будемо позначати так:
![]()
Закон великих чисел Суть закону великих чисел полягає в тому, що в разі дуже великої кількості випадкових явищ усереднений їхній результат практично перестає бути випадковим і може бути передбачений із великою часткою вірогідності.
Із деякими окремими випадками закону великих чисел ми вже стикалися раніше. Зокрема, це стосується стійкості відносної частоти події за необмеженого збільшення кількості випробувань.
Інший вид статистичної закономірності – стійкість середнього значення. Логічною основою для неї є такий хід міркувань. Під час кожного окремого випробування його результат, що характеризується деяким показником, під впливом випадкових факторів буде відхилятися від деякого сталого значення в той чи інший бік. Тому середнє значення показника за достатньо великої кількості випробувань унаслідок взаємного погашення індивідуальних відхилень стає стійким, наближаючись до деякого сталого числа, тобто практично не залежить від випадку.
Отже, закон великих чисел приводить до встановлення детермінованих закономірностей у поведінці відносної частоти, середнього значення або інших показників, що характеризують результат достатньо великої кількості випробувань в умовах непередбачуваності кожної спроби окремо.
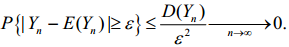
Теорема 1 (теорема Маркова, закон великих чисел). Якщо випадкові величини X1,X2,...,Xn,... попарно незалежні, мають скінченні математичні сподівання і для їхніх дисперсій виконується рівність


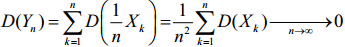
Доведення. Покладемо 
Оскільки випадкові величини X1,X2,...,Xn,... попарно незалежні, то дисперсія їхньої суми рівна сумі дисперсій, тому
![]()
![]()
Теорема 2 (теорема Чебишова). Якщо випадкові величини X1,X2,...,Xn,... попарно незалежні, мають скінченні математичні сподівання та обмежені в сукупності дисперсії
D(Xk)≤C, k = 1,2,..., (4)
де C = const > 0, то для будь-якого числа ε>0 виконується граничне співвідношення (3).Доведення. Використовуючи нерівності (4), одержимо:
![]()
Суть теорем Чебишова і Маркова полягає в тому, що хоч окремі випадкові величини Xp (i=1,2,...) можуть набувати значень, досить віддалених від своїх математичних сподівань, зате середнє арифметичне великої кількості цих випадкових величин з імовірністю, близькою до одиниці, набуває значення, яке близьке до середнього арифметичного їхніх математичних сподівань. Тобто середнє арифметичне великої кількості незалежних випадкових величин втрачає випадковий характер і має властивість стійкості. Наприклад, індивідуальні ціни окремих товаровиробників на той самий товар можуть значно відрізнятися від його вартості, але середня суспільна ціна наближається до вартості товару.
Теорема 3. Якщо випадкові величини X1,X2,...,Xn,... однаково розподілені, попарно незалежні, мають скінченні математичні сподівання E(Xk)=a та дисперсії D(Xk)=C, k = 1,2,...,де C = const > 0, то для будь- якого числа ε>0 виконується граничне співвідношення:
тобто середнє арифметичне випадкових величин збігається за ймовірністю до математичного сподівання а.
Доведення. З того, що D(Xk)=C, k = 1,2,..., випливає, що виконуються умови теореми 2, тому виконується граничне співвідношення (3), в якому
![]()
Теорема 4 (теорема Бернуллі про стійкість відносних частот). Якщо в кожному з серії незалежних випробувань випадкова подія настає з однією і тою самою ймовірністю р, то за необмеженого зростання кількості випробувань відносна частота появи цієї події збігається за ймовірністю до її ймовірності р, тобто для будь-якого наперед заданого числа ε>0 виконується граничне співвідношення

Доведення. Через Xk позначимо кількість появ події А у випробуванні за номером k, тоді випадкові величини X1,X2,...,Xn,... попарно незалежні і
![]()
Поняття про центральну граничну теорему
Центральна гранична теорема втановлює умови, за яких розподіл суми випадкових величин наближається до нормального закону.
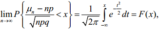
Нехай µn - кількість появ події А в n незалежних випробуваннях, в кожному з яких P(A) = p. Згідно з інтегральною теоремою Муавра-Лапласа



![]()
Надамо співвідношенню (7) іншу форму. Для цього позначимо через Xk кількість появ події А у випробуванні за номером k, тоді випадкові величини X1,X2,...,Xn,... незалежні,
![]()


О.М.Ляпунов отримав твердження, яке виражається граничним співвідношенням (9), для послідовності випадкових величин, на які накладаються слабші умови, ніж для випадкових величин X1,X2,...,Xn,... зі схеми Бернуллі.
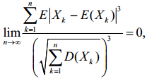
Теорема Ляпунова (центральна гранична теорема). Нехай X1,X2,...,Xn,... - послідовність незалежних випадкових величин зі скінченними математичними сподіваннями і дисперсіями. Якщо виконана умова

У випадку, коли випадкові величини X1,X2,...,Xn,... − однаково розподілені, твердження центральної граничної теореми справедливе без умови (10).
Наслідок з центральної граничної теореми (теорема Ліндеберга-Леві).
Нехай X1,X2,...,Xn,... − послідовність незалежних випадкових величин зі скінченними математичними сподіваннями E(Xk)=a і дисперсіями D(Xk)= σ2. Тоді для будь-якого дійсного числа х виконується гранична рівність
Отже, суть центральної граничної теореми полягає в тому, що розподіл випадкової величини, яка формується як результат дії багатьох незалежних випадкових факторів, кожний з яких має на неї незначний вплив, мало відрізняється від нормального закону. Оскільки ці умови на практиці досить часто виконуються, то нормальний закон розподілу є найпоширенішим із законів розподілу, які зустрічаються у випадкових явищах. Розглянемо лише деякі приклади застосування центральної граничної теореми.
Зокрема, в більшості випадків похибки, які виникають під час вимірювання фізичних величин, розподілені саме за нормальним законом, оскільки виникають як результат багатьох незалежних елементарних помилок, породжених різними причинами: станом приладу, атмосферними умовами, фізичним і психічним станом дослідника.
Якщо випадкова величина Х – відхилення курсу гривні від фіксованого за 1 рік, то

де Xk - відхилення курсу за k-ий день року. Тому, очевидно, випадкова величина Х матиме розподіл, близький до нормального.