Get Adobe Flash player

Лекція 15. Умовні ймовірності. Теорема множення ймовірностей. Незалежність подій

Пояснимо спочатку на прикладі суть умовної ймовірності. Нехай двічі кидають гральний кубик. Простір елементарних подій складається з 36 елементів:

. Розглянемо подію А – "сума очок після двох кидань рівна 5", тоді A = {(1,4),(2,3),(3,2),(4,1)},

Припустимо, що результат першого кидання – випадання 3 очок (подія B = {(3,1), (3, 2), (3, 3), (3, 4) (3, 5), (3, 6)}). В такій ситуації ймовірність події А зміниться: сумарна кількість очок буде рівною 5 лише тоді, коли за другим разом випаде "2", тобто в одному випадку з шести. Отже, ймовірність події А за умови, що відбулась подія В, P(A/B)=1/6.

В загальному випадку (в умовах класичної схеми) міркуємо так. Якщо відбулась подія В, то здійснився один з N(B) елементарних результатів. Серед них подія А з'являється N(АB) разів. Томy

У випадку загальної ймовірнісної моделі рівність

приймається за означення умовної ймовірності. З цього означення випливають такі властивості умовної ймовірності:

1) P(A/B)≥0;

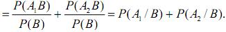
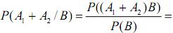
2) P(Ω/B)=1;

3) P(B/B)=1;

4) A1A2 A = Ø ⇒ P(Ai+A2/B)=P(A1/B)+P(A2/B).

Доведення.

2)

3)

4)

З рівності (1) безпосередньо випливає теорема множення ймовір- ностей: якщо P(A)>0, P(B)>0, то

P(AB)=P(A)P(B/A)=P(B)P(A/B).

Приклад.

Обчислити ймовірність P(AB) у прикладі про кидання кубика, розглянутому на початку параграфа.

Розв'язання. P(A/B)=1/6, P(B)=6/36=1/6 ⇒ P(AB)=1/36. Справді, AB={3,2}, і за класичним означенням P(AB)=1/36.

Формулу множення ймовірностей (2) можна узагальнити для випадку будь-якої скінченної кількості подій. Нехай A1,A2,...,An - випадкові події такі, що

P(A1A2·...·An-1)>0. Тоді

P(A1A2·...·An-1)=P(A1)P(A2/A1)P(A3/A1A2)·...·P(A1A2·...·An-1).

Доведемо формулу (3) за допомогою методу математичної індукції. Для n=2 справедливість (3) випливає безпосередньо з (2). Припустимо, що формула (3) виконується для п–1 множника і введемо позначення: A1A2·...·An-1=A, An=B. Тоді

P(A1A2·...·An)=P((A1A2·...·An-1)An)=P(AB)=P(A)P(B/A)=

=(A1A2·...·An-1)P(An/A1A2·...·An-1)=

=P(A1)P(A2/A1)P(A3/A1A2)·...·P(An/A1A2·...·An-1).

Введемо поняття незалежності випадкових подій, яке в теорії ймовірностей відіграє дуже важливу роль. Нехай Ω – простір елементарних подій, , A ⊂ Ω ⊂ Ω − B випадкові події.

Означення. Події А і В називаються незалежними, якщо

P(AB)=P(A)P(B).

Приклад.

Монету кидають двічі. Нехай А – подія, яка полягає в тому, що за першим разом випав герб, В– подія, яка полягає в тому, що за другим разом випав герб. З'ясувати, чи будуть незалежними події А і В.

Розв'язання. Простором елементарних подій даного експерименту є множина Ω={ГГ, ЦЦ, ГЦ, ЦГ}. Тоді

А={ГГ, ГЦ}, В={ГГ, ЦГ}, АВ={ГГ}

i P(A)=P(B)=2/4=1/2, P(AB)=1/4. Отже,P(AB)=P(A)P(B), тому випадкові події А і В – незалежні.

Розглянемо найважливіші властивості ймовірностей для незалежних подій.

1. Якщо події А і В незалежні, то

P(A//B)=P(A) (P(B)>0), P(B/A)=P(B) (P(A)>0).

Доведення випливає безпосередньо з теореми множення.

2. Якщо події А і В незалежні, то незалежні також

Доведення. Для обґрунтування цієї властивості досить довести, що події А і − незалежні.Оскільки A =AB +A , причому доданки цієї суми – несумісні події, то P(A)=P(AB)+P(A ). Звідси

P(A )=P(A)-P(AB)=P(A)-P(A)P(B)=P(A)(1-P(B))=P(A)P( ),отже, А і − незалежні.

Якщо маємо сукупність подій, яка містить більше, ніж дві події, то формула для обчислення ймовірності їх добутку також спрощується, якщо ці події незалежні в сукупності.

Означення. Випадкові події A1,A2,...,An називаються незалежними в сукупності, якщо

P(Ai1Ai2·...·Aik)=P(Ai1)P(Ai2)·...·P(Aik)

для будь-яких 1≤i1‹ i2‹...‹ ik≤n (2≤k≤n).

Для незалежних у сукупності подій A1,A2,...,An імовірність їх добутку дорівнює добуткові ймовірностей цих подій, тобто

P(A1A2·...·An)=P(A1)P(A2)·...·P(An)

Якщо умова (4) виконується лише для k=2, то події називаються попарно незалежними. Виявляється, що попарно незалежні події можуть не бути незалежними в сукупності. Про це свідчить приклад, наведений С.Н.Бернштейном.

Приклад.

На площину кидають тетраедр, три грані якого пофарбовані відповідно в червоний, синій, жовтий кольори, а на четверту грань нанесено всі три кольори. Розглянемо випадкові події: А1 – випаде грань із червоним кольором; А2 – випаде грань із синім кольором; А3 – випаде грань із жовтим кольором. З'ясувати, чи будуть ці події незалежними в сукупності.

Розв'язання. Очевидно, що P(A1)=P(A2)=P(A3)=2/4=1/2; P(A1)P(A2)=1/4=P(A1)P(A2); P(A1A3)=1/4=P(A1)P(A3); P(A2)P(A3)=1/4=P(A2)P(A3).

Отже, події A1,A2,A3− попарно незалежні. Проте ці події не є незалежними в сукупності, бо

P(A1A2A3)=1/4 P(A1)P(A2)P(A3)=1/8.

Задача. Нехай A1,A2,...,An– випадкові події, незалежні в сукупності, і їхні ймовірності P(A1),P(A2),...,P(An) є відомі. Знайти ймовірність події А, яка полягає в тому, що в результаті виконання експерименту відбудеться хоча б одна з подій A1,A2,...,An.

Розв'язання. З умови задачі випливає, що . Розглянемо протилежну подію . Ця подія полягає в тому, що в результаті виконання експерименту не відбудеться жодної з подій A1,A2,...,An, тобто одночасно відбудуться події . Томy  , і внаслідок незалежності подій    

P( )=P( 1)P( 2)·...·P( n).

Отже,

P(A)=1-P( )=1-P( 1)P( 2)·...·P( n)

тобто ймовірність появи хоча б однієї з незалежних подій A1,A2,...,An дорівнює різниці між одиницею і добутком імовірностей протилежних до них подій.