Get Adobe Flash player

Лекція 10. Математичне сподівання і його властивості

Найповнішу інформацію про випадкову величину дає її функція розподілу. Проте іноді навіть зручніше користуватися числами, які описують випадкову величину сумарно і називаються числовими характеристиками цієї величини. Розглянемо основні з них.

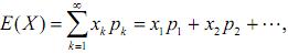
Нехай Х – дискретна випадкова величина, яка може набувати значень x1,x2,... відповідно з імовірностями p1,p2,... .

Означення. Математичним сподіванням дискретної випадкової величини Х називається число

якщо ряд у правій частині абсолютно збіжний.

Якщо ряд (1) не збіжний абсолютно, то кажуть, що математичне сподівання не існує. Зауважимо, що у випадку скінченної кількості можливих значень дискретної випадкової величини її математичне сподівання

завжди існує.

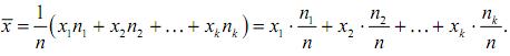
Щоб пояснити ймовірнісний зміст математичного сподівання, розглянемо приклад. Нехай проводиться п незалежних випробувань, в кожному з яких випадкова величина Х може набувати деякого значення з множини {x1, x2,..., xk}. Припустимо, що значення x1, набуте n1 разів, значення x2 набуте n2 разів, ... значення xk набуте nk разів.

Тоді середнє арифметичне значення набутих випадковою величиною Х значень в n випробуваннях обчислимо за формулою:

Відношення ni/n – це відносна частота події {X=xi}. Якщо кількість випробувань n – число досить велике, то ni/n≈pi=P{X=xi}. Тому і середнє арифметичне буде в цьому випадку наближатися до математичного сподівання E(X):

Отже, імовірнісний зміст математичного сподівання полягає в тому, що математичне сподівання наближено дорівнює (тим точніше, чим більша кількість випробувань n) середньому арифметичному спостережуваних значень випадкової величини Х.

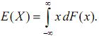
Нехай Х – неперервна випадкова величина з щільністю розподілу ймовірностей p(x).

Означення. Математичним сподіванням неперервної випадкової величини Х називається число

якщо інтеграл у правій частині абсолютно збіжний.

Якщо інтеграл (1) не збіжний абсолютно, то кажуть, що математичне сподівання не існує. Зауважимо, що у випадку, коли можливі значення неперервної випадкової величини зосереджені на проміжку (a, b) її математичне сподівання

завжди існує.

Оскільки в точках неперервності p(x) маємо: p(x)=(dF(x))/(dx), то формулу (2) можна записати також у виглядi

Приклади.

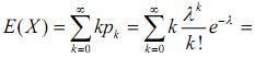
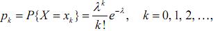
Для випадкової величини Х, розподіленої за законом Пуассона,

Отже, математичне сподівання випадкової величини Х, розподіленої за законом Пуассона, рівне параметрові цього розподілу λ .

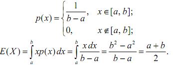
Для випадкової величини Х, рівномірно розподіленої на проміжку [a, b],

Це означає, що математичне сподівання випадкової величини Х, рівномірно розподіленої на проміжку [a , b], – це середина цього відрізка.

Властивості математичного сподівання

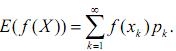
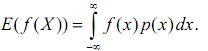
•Якщо Х – неперервна випадкова величина з щільністю розподілу ймовірностей p(x), a f(x) − неперервна функція на множині можливих значень Х, то

Якщо Х – дискретна випадкова величина з законом розподілу

то

Приклад.

Перевіримо формулу (4) для випадкової величини Y=f(X)=X3. Маємо:

Тоді за формулою (3)

або після заміни

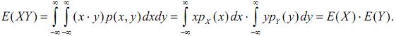
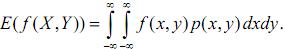
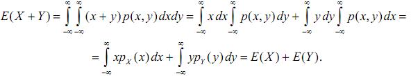
•Якщо X, Y – , неперервні випадкові величини, p(x, y)− щільність розподілу ймовірностей випадкового вектора (X, Y), a f(x, y)− неперервна функція на множині можливих значень випадкового вектора (X, Y), то

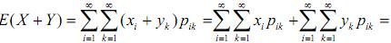
Якщо X Y – , дискретні випадкові величини із законами розподілу

то

де pik=P{X=xi, Y=yk}, i,k=1,2,...- закон розподілу випадкового вектора (X ,Y ).

•Математичне сподівання сталої величини дорівнює цій величині, тобто якщо C=const, то E(C)=C.

Доведення. Сталу С можна розглядати як дискретну випадкову величину, яка набуває лише одного значення С з імовірністю 1. Тому E(C)=C·1=C.

•Сталий множник виноситься за знак математичного сподівання, тобто якщо C=const, то E(CX)=CE(X).

Доведення є безпосереднім наслідком співвідношень (4) і (5).

•Математичне сподівання алгебраїчної суми двох (або кількох) випадкових величин дорівнює алгебраїчній сумі математичних сподівань цих47 величин, тобто E(X±Y)=E(X)±E(Y).

Доведення. Якщо X, Y – дискретні випадкові величини, то застосовуючи співвідношення (7), одержимо:

Для неперервних випадкових величин використовуємо формулу (6):

Приклад.

Знайти математичне сподівання кількості успіхів µ та частоти успіхів µ / n в n випробуваннях за схемою Бернуллі, якщо ймовірність успіху в одному випробуванні дорівнює р і q=1-p.

Розв'язання. Позначимо через µk кількість успіхів у випробуванні під номером k. Тоді µ=µ12+...+µn, E(µk)=1·p+0·q=p, оскільки кількість успіхів в одному випробуванні рівна 1 з імовірністю р або 0 з імовірністю q.

Отже,

•Якщо випадкові величини Х і Y – незалежні, то E(XY)=E(X)·E(Y).

Доведення. Якщо Х і Y – дискретні випадкові величини і

pi=P{X=xi}, qk=P{Y=yk}, pik=P{X=xi, Y=yk}, то з їхньої незалежності випливає, що pik=piqk, тому

Для незалежних неперервних випадкових величин Х і Y з щільностями розподілу відповідно px(x) i py(y) двовимірна випадкова величина (X ,Y) має щільність розподілу p(x, y)=px(x)py(y) і за формулою (6) отримаємо: