Get Adobe Flash player

Приклад №7

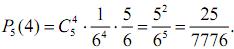
Приклад. 1

Кубик кидають 5 разів. Обчислити ймовірність випадання чотирьох шісток.

Розв'язання. Тут n=5, k=4, p=1/6, q=5/6. За допомогою біномної формули отримуємо:

Приклад. 2

Кубик кидають 5 разів. Яка найімовірніша кількість випадань шістки?

Розв'язання. Тут n=5, p=1/6, q=5/6, np=5/6, np-q=0, np+p=1.

Отже, 0≤k0≤1, і найімовірнішими є два значення кількості випадань шістки: k0=0 i k0=1.