Get Adobe Flash player

Лекція 18. Граничні теореми для схеми Бернуллі

Якщо проводяться випробування за схемою Бернуллі і числа n і k – великі, то обчислення ймовірностей Pn(k) за біномною формулою викликає певні труднощі. У такому разі для обчислення цих імовірностей застосовують асимптотичні (наближені) формули, які випливають із локальної та інтегральної теорем Муавра-Лапласа і граничної теореми Пуассона. Назва "гранична" в обох випадках пов'язана з тим, що згадані теореми встановлюють поведінку ймовірностей Pn(k) або Pn(k1≤k≤k2) за певних умов, до яких обов'язково входить умова .

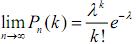
Гранична теорема Пуассона. Якщо ймовірність успіху в кожному з п незалежних випробувань за схемою Бернуллі рівна p і якщо для так, що , то

для будь-якого k = 0,1,2,..., де Pn(k) – ймовірність появи k успіхів в n випробуваннях.

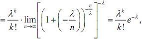
Доведення. Поклавши np = λn (отже, ), запишемо

що й треба було довести.

Отже, при великих n (n>100) і малих р (np<30) ми можемо користуватися наближеними формулами:

Формули (1) і (2) називаються асимптотичними формулами Пуассона. Друга з них дає наближений вираз для ймовірності того, що кількість успіхів в п випробуваннях міститься між заданими числами k1 і k2 . Дослідження питання про точність формул (1) і (2) ми не розглядаємо. Обмежимося лише тим, що приймемо без доведення нерівність

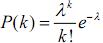
яка є правильною для будь-якої множини M ⊂ {0, 1, 2, }. Зокрема, якщо М складається з одного числа k, то

Для виразу , який розглядається як функція двох змінних k і λ, складено таблицю значень.

Введемо позначення . Сукупність значень {P(k): k=0,1,2,...}

називається розподілом Пуассона з параметром λ > 0.

Приклад.

У фірмі працює 500 співробітників. Знайти ймовірність того, що у двох співробітників день народження припаде на новий рік, вважаючи, що ймовірність народитися у фіксований день становить 1/365.

Розв'язання. Маємо: n=500, p=1/365, λ=np=500/365=100/73, k=2;

Обчислення ж за біномною формулою дають P500(2)=0,2388347. Бачимо, що |P500(2)-0,2384517|=0,000383<0,003753=np2.

Отже, оцінка (3) в даному випадку правильна.

Локальна формула Муавра-Лапласа. Нехай імовірність успіху в кожному з п незалежних випробувань за схемою Бернуллі рівна p, 0n(k) появи k успіхів в п випробуваннях обчислюється за наближеною формулою:

де − функція Гаусса.

При цьому встановлено, що відносна похибка формули (4) наближається до нуля, коли .

Функція Гаусса табульована. В більшості підручників наведено значення ϕ(x) для 0≤x≤3,99. Для обчислення значень ϕ(x) при від'ємних значеннях -3,99≤x≤0 використовуємо парність функції ϕ(x), а для |x|>3,99 приймаємо, що ϕ(x)=0.

Інтегральна теорема Муавра-Лапласа. Нехай імовірність успіху в кожному з n незалежних випробувань за схемою Бернуллі рівна p, 0n– кількість успіхів в п випробуваннях. Тоді

для всіх а, b.

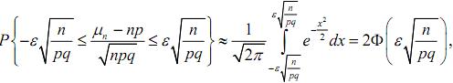
Спираючись на цю теорему, для великих значень п записують наближену формулу для ймовірності P{k1≤µn≤k1. Щоб отримати її, введемо позначення

Тоді

де

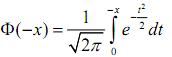
Для простішого запису отриманої наближеної формули вводять функцію Лапласа

Оскільки

то остаточно отримаємо

Функцію Лапласа часто використовують у теорії ймовірностей і математичній статистиці, тому опишемо її найпростіші властивості.

Графік функції Лапласа

• Ф(x)– непарна функція: Φ(-x)=-Φ(x).

Доведення. В інтегралі зробимо заміну t=-u.

Тоді dt=-du,

• Ф(0)=0; Ф(+  )=0,5 i Ф(-  )=-0,5 ⇒ прямі y=0,5 i y=-0,5 - асимптоти графіка функції при x  +    i x   -  відповідно.

Доведення. В інтегралі зробимо заміну . Тоді

• Φ(x) – зростаюча функція. Функція Лапласа Φ(x) табульована для 0≤x≤5. Для обчислення значень Φ(x) при від'ємних значеннях -5≤x≤0 використовуємо непарність функції.

Приклад.

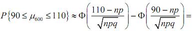
Знайти ймовірність того, що при 600 киданнях кубика "шістка" випаде 100 разів. Яка ймовірність того, що кількість випадань "шістки" є в межах від 90 до 110?

Розв'язання. Маємо: n=600, k=100, p=1/6, np=100, npq=100·(5/6)=83,(3);

Зауваження. Точність наближених формул (4) і (5) істотно залежить від взаємовідношення величин n і р. Зокрема, добрі наближення ці формули дають при p=q=1/2, їх часто використовують, коли npq≥10. Звідси, до речі, видно: що ближче одне з чисел р або q до нуля, то більшим слід вибирати n. Тому в разі близькості однієї з величин р або q до нуля формулами (4) і (5) зазвичай не користуються; для цього випадку значно точнішими є наближені формули Пуассона.

Теорема Бернуллі про стійкість відносних частот

Нехай імовірність появи випадкової події А в кожному з п незалежних випробувань за схемою Бернуллі становить р. Для довільного числа ε>0 визначимо за допомогою інтегральної теореми Муавра-Лапласа ймовірність події при n    , де – відносна частота події, тобто ймовірність того, що відхилення відносної частоти події від її ймовірності за абсолютним значенням не перевищує числo ε>0.

Можемо записати

Отже,

Ця формула виражає теорему Бернуллі.

Теорема Бернуллі. Якщо в кожному з серії незалежних випробувань випадкова подія настає з однією і тою самою ймовірністю р, то за достатньо великої кількості випробувань з імовірністю як завгодно близькою до 1, відхилення відносної частоти появи цієї події від її ймовірності р не перевищуватиме як завгодно малого наперед заданого числа ε.

Оскільки для великих n

то для великих п використовують наближену формулy

Приклад.

Проводиться 100 випробувань за схемою Бернуллі з імовірністю р=0,5 появи події А в кожному окремому випробуванні. Знайти межі, в яких міститься частота події А з імовірністю 0,9545.

Розв'язання. За умовою задачі n=100, p=q=0,5 i

Pа формулою (6) маємо, що ⇔ Ф(20ε)=0,47725. За таблицею значень функції Лапласа знаходимо, що 20ε=2 ⇒ ε=0,1. Із нерівності

випливає, що 40≤µn≤60, тобто з імовірністю 0,9545 подія А може з'явитися від 40 до 60 разів.