Get Adobe Flash player

Лекція 9. Поняття випадкової величини та функції розподілу

Оскільки результат експерименту може змінюватися від випадку до випадку, то кількісна ознака, яка в ньому розглядається, взагалі кажучи, є змінною величиною, до того ж випадковою. Отже, випадкова величина – це величина, яка в результаті експерименту з випадковим результатом набуває того чи іншого числового значення.

Прикладами випадкових величин, що набувають різних числових значень під впливом багатьох випадкових факторів, можуть бути:

а) кількість очок, яка випадає на верхній грані за одне кидання грального кубика;

б) кількість бракованих виробів серед п навмання вибраних;

в) кількість кидань монети до першої появи герба;

г) кількість викликів, які надходять на телефонну станцію протягом деякого проміжку часу;

д) тривалість часу обслуговування покупця;

е) час виконання деякого завдання і т. д.

Випадкові величини позначатимемо великими літерами X, Y, Z, …, а їхні можливі значення – малими літерами x, y, z, …, латинського алфавіту.

У наведених прикладах траплялися два типи випадкових величин: дискретні величини, множини можливих значень яких скінченні або зліченні, - приклади а) – г) і неперервні величини, множини можливих значень яких суцільно заповнюють деякий інтервал, – приклади д), е)

Зазначимо, що за теоретико-множинним трактуванням основних понять теорії ймовірностей випадкова величина Х є функція елементарної події: X=X(ω), де ω − елементарна подія, яка належить простору Ω(ω∈Ω). При цьому множина можливих значень випадкової величини Х складається з усіх значень, яких набуває функція X(ω). Якщо ця множина скінченна або зліченна, то випадкова величина Х називається дискретною, якщо незліченна – неперервною.

Наведемо приклади дискретної і неперервної випадкових величин.

1. Симетричну монету кидають двічі. Нехай випадкова величина Х – кількість появ герба. Простір елементарних подій складається з чотирьох елементів:

Ω={ω1=(ЦЦ), ω2=(ЦГ), ω3=(ГЦ), ω4=(ГГ)}.

Таблиця значень випадкової величини має такий вигляд:

 ωi  ω1  ω2  ω3  ω4
 X(ωi)  0  1  2  3

2. Нехай випадкова величина Y є час очікування трамвая на зупинці. Якщо відомо, що проміжок часу між прибуттям трамваїв не перевищує Т, то значення Y належать відрізку [0,T].

Для того, щоб описати випадкову величину, необхідно вказати не тільки множину її можливих значень, а й охарактеризувати ймовірності всіх можливих подій, пов'язаних із випадковою величиною (наприклад, імовірність того, що вона набуде того чи іншого значення або потрапить у деякий інтервал). Такий повний опис випадкової величини називається її законом розподілу.

У випадку довільного ймовірнісного простору (Ω,F,P) не будь-які функції, визначені на Ω, можна розглядати як випадкові величини. Вивчаючи закони розподілу випадкових величин, часто доводиться відповідати на питання: яка ймовірність того, що значення випадкової величини X(ω) належать до тієї чи іншої множини. Отже, для достатньо широкого класу множин {B} на числовій прямій повинна бути впевненість, що множина {ω: X(ω) ∈ B} належить σ-алгебрі подій F, і тому можна розглядати ймовірність P{ω: X(ω) ∈ B}. Виявляється, достатньо припустити, що для кожного інтервалу (- , x) множина {ω: X(ω) ∈ (- , x)} = {ω: X(ω) < x} належить σ-алгебрі подій F, і тоді для кожної множини дійсних сисел В, яка зображається як об'єднання або перетин скінченної або зліченної кількості проміжків, отримаємо, що {ω: X(ω) ∈ B} ∈ F.

Означення. Нехай (Ω,F,P) – імовірнісний простір. Випадковою величиною назвемо дійсну функцію X=X(ω), визначену на Ω і таку, що для кожного дійсного числа х виконується співвідношення:

{ω: X(ω) < x} ∈ F.

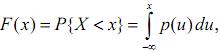
Означення. Функція дійсної змінної х, x∈R =(- ,+ ), визначена рівністю

F(x)=P{ω: X(ω) < x} = P {X

називається функцією розподілу випадкової величини X = X(ω).

Функція розподілу є найбільш загальною формою закону розподілу, придатною для характеристики всіх випадкових величин (як дискретних, так і неперервних). Знаючи функцію розподілу F(x) випадкової величини Х, можна обчислити ймовірності будь-яких подій, які з нею пов'язані.

Властивості функції розподілу

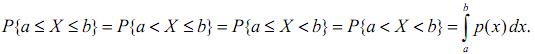
  • • Імовірність того, що випадкова величина Х набуде значення з проміжку [a, b) дорівнює приросту її функції розподілу на цьому проміжку, тобто

    {a≤x≤b}=F(b)-F(a).

    Доведення. Оскільки {X‹b}={Xa}+{a≤X≤b}, то за аксіомою адитивності (події-доданки – несумісні ):

    F(b)=P{X‹b}=P{X‹a}+P{a≤X≤b}=F(a)+P{a≤X≤b},

    звідки P{a≤X≤b}=F(b)-F(a).

  • • Значення функції розподілу належать відрізку [0, 1], тобто 0≤F(x)≤1.
  • • Якщо x1≤x2, то F(x1)≤F(x2), тобто F(x) – неспадна функція.

    Доведення. Якщо x1≤x2, то A={X1}⊂B={X2}, тому P(A)≤P(B), тобто F(x1)≤F(x2).

  • Доведення.

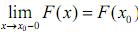
  • , тобто функція F(x) – неперервна зліва.

    Доведення. Розглянемо довільну зростаючу числову послідовність

    і позначимо An={xn≤X≤x0}. Тоді послідовність подій A1⊃A2⊃...⊃An ⊃... − спадна, причому . За аксіомою неперервності . З другого боку,

  • • P{X=x}=F(x+0)-F(x).

    Доведення. , де . Тоді послідовність подій A1⊃A1⊃...⊃An⊃... - спадна. За аксіомою неперервностi

Дискретні випадкові величини. Закон розподілу

Означення. Випадкова величина називається дискретною, якщо множина її можливих значень є скінченною або зліченною.

Нехай Х – дискретна випадкова величина, можливими і єдино можливими значеннями якої є числа x1,x2,...,xn. Через pk={X=xk} позначимо ймовірність того, що випадкова величина Х набуває значення xk, pk≥0.

Події {X=xk}, утворюють повну групу попарно несумісних подій, тому

Означення. Законом розподілу ймовірностей (законом розподілу) дискретної випадкової величини називається відповідність між усіма її можливими значеннями та їхніми ймовірностями.

Табличний запис закону розподілу – це таблиця значень xk випадкової величини та відповідних їхніх імовірностей pk:

  xk   x1   x2   ...   xn
  pk   p1   p2   ...   pn

За допомогою табличного запису закону розподілу можна визначити функцію розподілу F(x) випадкової величини Х за формулою:

у якій сумування проводиться за усіма індексами k, для яких xkk випадкової величини Х є нескінченною і зліченною, то її закон розподілу також можна записати у формі таблиці, яка складатиметься з двох нескінченних рядків:

xk:x1,x2,...,xn,...

pk:p1=P{X=x1}, p2=P{X=x2},...,pn=P{X=xn},... до того ж

Приклад.

У грошовій лотереї розігрується 2 виграші по 1000 грн, 10 виграшів по 100 грн і 100 виграшів по 10 грн за загальної кількості білетів 10000. Визначити закон розподілу випадкової величини Х – виграшу власника одного лотерейного білета.

Розв'язання. Можливими значеннями дискретної випадкової величини Х є числа x1=1000, x2=100, x3=10, x4=0. Відповідні їхні ймовірності обчислюємо за формулою: pk=nk/n, де nk – кількість виграшних білетів на відповідну суму гривень, n – кількість всіх білетів лотереї. Одержимо:

Закон розподілу випадкової величини Х запишемо у вигляді таблиці:

  X=xk   1000   100   10   0
  P=pk   0,0002   0,001   0,01   0,9888

Приклад.

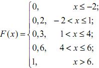
Дискретна випадкова величина Х має закон розподілу ймовірностей, що заданий таблицею:

  X=xk   -2   1   4   6
  P=pk   0,2   0,1   0,3   0,4

Знайти функцію розподілу випадкової величини Х.

Розв'язання. Якщо x≤-2, то F(x)=P{X‹x}=0, бо подія X‹x} неможлива.

Якщо -2‹x≤1, то F(x)=P{X‹x}=0,2, бо подія {X‹x} є сумою двох несумісних подій: {X=-2}, яка має ймовірність 0,2, і {X=1}, яка має ймовірність 0,1.

Якщо 4‹x≤6, то F(x)=P{X‹x}=0,2+0,1+0,3=0,6, бо подія {X‹x} є сумою трьох несумісних подій: {X=-2}, яка має ймовірність 0,2, {X=1}, яка має ймовірність 0,1 і {X=4}, яка має ймовірність 0,3.

Якщо x>6, то F(x)=P{X‹x}=1, бо подія {X‹x} є вірогідною.

Отже, функція розподілу заданої дискретної випадкової величини має такий аналітичний вигляд:

Графік функції розподілу дискретної випадкової величини має "східчастий" характер

Основні закони розподілу дискретних випадкових величин

Біномний закон розподілу. Нехай проводиться n незалежних випробувань за схемою Бернуллі і p=P(A) − імовірність появи події А в кожному окремому випробуванні. Сформулюємо задачу: написати закон розподілу дискретної випадкової величини Х – кількості появ події А в цих n випробуваннях.

Випадкова величина Х може набути значень

x0, x1, x2, ... , xn=n.

Імовірності можливих значень xk випадкової величини Х обчислимо за біномною формулою:

і одержимо закон розподілу описаної випадкової величини Х, який називається біномним.

  X=xk   0   1   2   ...   n
  P=pk   qn       ...   pn

Раніше ми вже переконалися, що

Приклад.

Прилад складається з чотирьох елементів і ймовірність наявності технічних неполадок у кожному з них становить 0,5. Написати закон розподілу випадкової величини Х – кількості елементів приладу, в яких наявні технічні неполадки.

Розв'язання. Можливими значеннями дискретної випадкової величини Х є числа x0=0, x1=1, x2=2, x3=3, x4=4. За біномною формулою обчислимо відповідні ймовірності цих значень, знаючи, що p=q=1/2:

Зробимо перевірку: p0+p1+p2+p3+p4=1/16+1/4+3/8++1/4+1/16=1. Закон розподілу даної випадкової величини має форму таблиці:

  X=xk   0   1   2   3   4
  P=pk   1/16   1/4   3/8   1/4   1/16

З таблиці видно, що найімовірніша кількість елементів приладу, в яких є технічні неполадки, k0=2.

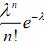
Розподіл Пуассона. Розподіл імовірностей дискретної випадкової величини Х, яка набуває значень

xk:0,1,2, ..., n, ...

з імовірностями

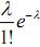
називається законом розподілу Пуассона, що залежить від параметра λ, λ>0.

Розподіл Пуассона записують у формі таблиці:

  X=xk   0   1   2   ...   n   ...
  P=pk   e       ...     ...

Сумуючи всі ймовірності розподілу Пуассона і використовуючи рівність

отримуємо підтвердження основної властивості розподілу:

Під час вивчення схеми Бернуллі було зауважено, що при великих п для обчислення ймовірностей Pn(k) доцільно використовувати асимптотичні формули Пуассона, які полегшують ці обчислення. Зокрема, з асимптотичної формули Пуассона випливає, що за допомогою розподілу Пуассона можна апроксимувати біномний закон розподілу, коли кількість експериментів n необмежено зростає

(n      ) й одночасно ймовірність успіху в одному експерименті необмежено зменшується (p    0) так, що їх добуток nр наближається до числа

 

Приклад.

Електронна пошта банку підтримує зв'язки із сотнею абонентів. Імовірність того, що за одиницю часу на електронну пошту надійде повідомлення від абонента, становить 0,02. Написати закон розподілу випадкової величини Х – кількості повідомлень від абонентів за одиницю часу.

Розв'язання. У даному випадку проводиться n=100 випробувань за схемою Бернуллі, і випадкова величина Х може набувати значень x0=0, x1=1, x2=2, x3=3, x4=4, ..., x100=100. Імовірність події А – надходження повідомлення від одного абонента є мала, а число n=100 – велике і λ=100·0,02=2, тому відповідні ймовірності обчислюємо за формулою (1):

Закон розподілу описаної в задачі випадкової величини Х записуємо у формі таблиці:

  X=xk   0   1   2   3   4   ...
  P=pk   0,1353   0,2707   0,2707   0,1804   0,0902   ...

З таблиці видно, що найімовірніша кількість повідомлень від абонентів за одиницю часу – одне або два.

Неперервні випадкові величини. Щільність розподілу

Вище неперервною випадковою величиною ми назвали випадкову величину Х, можливі значення якої суцільно заповнюють деякий скінченний або нескінченний проміжок на числовій прямій. Це означення ми далі уточнимо.

Оскільки множина можливих значень неперервної випадкової величини незліченна, то для неї непридатна характеристика розподілу у формі переліку її значень та відповідних імовірностей хоча б з тієї причини, що значення цієї множини неможливо записати як послідовність. Тому характеристика розподілу такої величини базується на понятті функції розподілу.

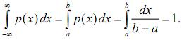
Означення. Випадкову величину Х називають неперервною (або абсолютно неперервною), якщо існує невід'ємна функція p(x) така, що для всіх х функція розподілу випадкової величини Х визначається у вигляд

до того ж функція p(x) неперервна всюди, крім, можливо, скінченної кількості точок

З означення (2) випливає, що функція розподілу неперервної випадкової величини неперервна (інтеграл – неперервна функція верхньої межі інтегрування). Функція p(x) називається щільністю розподілу ймовірностей випадкової величини Х. В точках своєї неперервності функцію p(x) можна визначити як похідну функції розподілу: p(x)=F'(x).

Спираючись на співвідношення (2) та властивості функції розподілу, можемо також записати:

З неперервності функції розподілу неперервної випадкової величини виводимо, що P{X=x}=F(x+0)-F(x)=0. Тому для неперервної випадкової величини Х

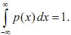
Використовуючи, що F(+∞)=1, з (2) отримуємо основну властивість щільності розподілу

Основні закони розподілу неперервних випадкових величин

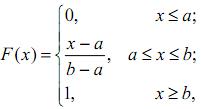
А. Рівномірний розподіл. Нехай на проміжок [a,b] навмання кидають точку, отже, ймовірність потрапляння точки на деяку частину проміжка пропорційна довжині цієї частини проміжка. Випадкову величину визначимо як координату тієї точки відрізка, в яку влучила кинута точка:

X(ω)=ω, ω∈[a,b].

Визначимо функцію розподілу випадкової величини Х.

Якщо x≤a, то F(x)=P{X‹x}=P(Ø)=0. Якщо x∈(a,b], то F(x)=P{X‹x}=c(x-a) (імовірність пропорційна довжині проміжка [a,x) ). Тоді

F(b)=P{X‹x}=P(Ω)=1=c(b-a) ⇒ c=1/(b-a).

Отже, рівномірний розподіл задають функцією

яка, очевидно, є неперервною. Відповідну щільність розподілу ймовірностей можна визначити як похідну функції розподілу

Перевіримо основну властивість щільності розподілу

Б. Нормальний розподіл. Надзвичайно важливу роль у теорії ймовірностей відіграє нормальний розподіл (закон Гаусса). Він проявляється у всіх випадках, коли випадкова величина Х є наслідком дії великої кількості різних випадкових факторів, кожний з яких окремо має на величину Х незначний вплив.

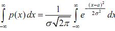
Означення. Неперервна випадкова величина Х називається розподіленою за нормальним законом, або нормально розподіленою, з параметрами −∞0, якщо її щільність розподілу має вигляд:

Перевіримо для нормального розподілу основну властивість щільності розподілу. Для цього в інтегралі

зробимо заміну . Тоді і враховуючи, що

одержимо:

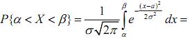
Обчислимо ймовірність попадання значень нормально розподіленої випадкової величини у заданий інтервал. Для цього в інтегралі

зробимо заміну t=(x-a)/σ. Тоді x=σt+a; dx=σdt і враховуючи, що

одержимо:

Отже, імовірність попадання значень нормально розподіленої випадкової величини в інтервал (α,β) дорівнює різниці значень функції Лапласа Φ(x),якщo

Оскільки функція Φ(x) табульована, то формула (3) є зручною для обчислень.

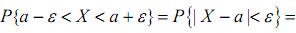
Якщо взяти α=a-ε, β=a+ε, то з (3) отримаємо:

тобто

Приймемо у формулі (4) ε=3σ Одержимо:

P{|X-a|‹3σ}=2Ф(3)=2·0,49865=0,9973,

тобто ймовірність події {|X-a|‹3σ} близька до одиниці, а це означає, що ця подія майже вірогідна. Звідси маємо так зване правило "трьох сигм": якщо випадкова величина нормально розподілена, то практично вірогідно, що абсолютна величина її відхилення від параметра а не перевищує потроєного параметра σ.

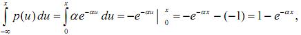
В. Показниковий розподіл. У практичних застосуваннях теорії ймовірностей часто трапляються випадкові величини, які мають показниковий розподіл.

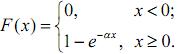
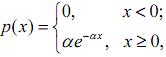
Означення. Неперервна випадкова величина Х називається розподіленою за показниковим законом або показниково розподіленою, з параметром α, якщо щільність розподілу її ймовірностей має вигляд:

де α>0 - параметр розподілу.

Перевіримо для нормального розподілу основну властивість щільності розподілу:

Оскільки для x>0

то відповідна функція розподілу має вигляд:

Обчислимо ймовірність попадання значень показниково розподіленої випадкової величини у заданий інтервал:

Серед усіх законів розподілу неперервних випадкових величин лише показниковому притаманна властивість відсутності післядії, а саме: якщо випадкову величину пов'язати з часом, то для показникового закону розподілу минуле не впливає на передбачення подій у майбутньому. Наприклад, якщо випадкова величина Т – тривалість безвідмовної роботи приладу має показниковий розподіл, то час роботи приладу впродовж інтервалу часу (0,t0) не впливає на величину ймовірності його безвідмовної роботи впродовж наступного інтервалу час (t0,t0+t) а залежить лише від довжини t цього інтервалу.

Час безвідмовної роботи деякого приладу – показниково розподілена випадкова величина Т з параметром α=0,02. Знайти ймовірність того, що прилад працюватиме безвідмовно не менше ніж 100 год.

Розв'язання. За формулою (5) обчислюємо:

Випадкові вектори та їхні функції розподілу

Дуже часто в імовірнісних моделях доводиться розглядати відразу кілька випадкових величин. Наприклад, кількість очок, яка випаде за одночасного кидання двох гральних кубиків, є можливим значенням системи двох випадкових величин Х і Y, де Х – кількість очок, яка випаде на першому кубику, Y – кількість очок, яка випаде на другому кубику. У математичній моделі в таких випадках на ймовірнісному просторі (Ω,F,Р) визначені кілька випадкових величин X1,X2,...,Xn, які іноді зручно розглядати як координати випадкового вектора X=(X1,X2,...,Xn)із п-вимірного простору Rn. При цьому випадкові величини X1,X2,...,Xn можуть бути як дискретними, так і неперервними. Закон розподілу випадкового вектора X=(X1,X2,...,Xn) у загальному випадку визначається функцією розподілу.

Означення. Функцією розподілу n-вимірної випадкової величини (X1,X2,...,Xn) називається ймовірність сумісного виконання нерівностей:

тобто

F(X1,X2,...,Xn)=P{X1‹x1, X2‹x2,..., Xn‹xn}

Властивості функції розподілу розглянемо для випадку n=2, тобто для двовимірної випадкової величини (X, Y). Функція розподілу F(x,y) має такі властивості

•F(x, y) − неспадна функція за кожним аргументом;

•для функції F(x, y) виконуються такі граничні співвідношення:

F(-∞, y)=0, F(x, -∞)=0, F(-∞, -∞)=0, F(+∞, +∞)=1;

де Fx(x)− функція розподілу випадкової величини Х; Fy(y)− функція розподілу випадкової величини Y.

Двовимірні випадкові величини

Двовимірну випадкову величину (X, Y) назвемо дискретною, якщо її складові Х і Y є дискретними одновимірними випадковими величинами, і неперервною, якщо її складові Х і Y є непервними одновимірними випадковими величинами. Складові Х і Y двовимірної випадкової величини (X, Y) називають ще її компонентами.

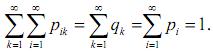
А. Випадок дискретної величини. Для задання дискретної випадкової величини (X, Y) досить задати її можливі значення (xi ,yk) та ймовірності кожного з них:

pik=P{X=xi,Y=yk}, i,k=1,2,...

Для одновимірних випадкових величин Х і Y введемо позначення:

pi=P{X=xi}, i=1,2,...; qk=P{Y=yk}, k=1,2,... .

Знайдемо зв'язок між імовірностями pik та pi i qk. Для цього достатньо зауважити, що подію {X=xi} можна представити як суму попарно несумісних подій:

{X=xi}={X=xi, Y=y1}+{X=xi, Y=y2}+...,

звідки за акісомою адитивності

.

Аналогічно можна отримати формулу

. Нарешті,

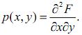
Б. Випадок неперервної величини. Для двовимірної неперервної випадкової величини (X ,Y) існує невід'ємна функція p(x , y) така, що функція розподілу випадкового вектора (X ,Y) визначається у вигляді

до того ж функція p(x, y) неперервна всюди, крім, можливо, скінченної кількості точок і називається щільністю розподілу ймовірностей випадкового вектор (X, Y).

З (6) випливає, що в точках неперервності щільність розподілу можна визначити як другу мішану похідну функції розподілу:

Використовуючи, що F(+∞, +∞)=1, з (6) отримуємо основну властивість щільності розподілу випадкового вектора (X, Y):

Якщо можливі значення двовимірної неперервної випадкової величини (X ,Y), розміщені в області G⊂R2, то формула (6) набуває вигляду:

Знаючи щільність розподілу p(x, y) випадкового вектора (X, Y), можна знайти щільності розподілу його компонент px(x) та py(y). Справді,

звідки

Аналогічно можна отримати формулу для py(y):

Незалежність випадкових величин

У попередньому пункті ми показали, як, знаючи закон розподілу двовимірної випадкової величини (X, Y) знайти закон розподілу окремих величин Х і Y. Виникає природне питання: чи не можна, знаючи закони розподілу окремих випадкових величин Х і Y, знайти закон розподілу випадкового вектора (X, Y)? Виявляється, що це можна зробити лише в одному43 частковому випадку, коли випадкові величини Х і Y є незалежні.

Означення. Випадкові величини називаються X1,X2,...,Xn незалежними, якщо для будь-яких дійсних чисел x1,x2,...,xn

F(x1,x2,...,xn)=F1(x1)·F2(x2)·...·Fn(xn)·,

де F(x1,x2,...,xn)− функція розподілу випадкового вектора X1,X2,...,Xn Fk(xk) − функція розподілу випадкової величини Xk, .

Розглянемо випадок n=2. Якщо , X Y − дискретні випадкові величини, то їхня незалежність означає, що для будь-яких i, k події {X=xi} i {Y=yk} є незалежні, томy

pik=P{X=xi, Y=yk}=P{X=xi}·P{Y=yk}=pi, qk, i,k=1,2,... .

Нехай X, Y − неперервні випадкові величини з функціями розподілу Fx(x) i Fy(y) і щільностями розподілу ймовірностей px(x) та py(y) відповідно. Нехай F(x, y) i p(x, y)− функція розподілу і щільність розподілу двовимірної випадкової величини (X, Y). Тоді за означенням незалежності Х і Y маємо: F(x, y)=Fx(x)·Fy(y). Диференціюючи двічі (по х і по y), одержимо:

тобто p(x, y)=px(x)·py(y).

Можна показати, що умова (7) є не лише необхідною, а й достатньою для незалежності неперервних випадкових величин Х і Y. Справді, якщо (7) виконується, тo

а це означає, що Х і Y – незалежні.