Get Adobe Flash player

Лекція 11. Дисперсія та її властивості

Дисперсія випадкової величини характеризує відхилення випадкової величини від її математичного сподівання.

Для характеристики цього відхилення неможливо використати його математичне сподівання, оскільки воно дорівнює нулю:

E(X-E(X))=E(X)-E(E(X))=E(X)-E(X)=0

Цей результат цілком природний. Він показує, що випадкова величина "однаково часто" відхиляється від свого математичного сподівання як у більшу, так і в меншу сторону. Щоб запобігти взаємному знищенню додатних і від'ємних значень відхилення X-E(X), можна замість самого відхилення розглядати його квадрат (X-E(X))2.

Означення. Дисперсією випадкової величини Х називається математичне сподівання квадрата відхилення цієї випадкової величини від її математичного сподівання, тобто

D(X)=E(X-E(X))2.

З властивостей математичного сподівання випливає, що дисперсію дискретної і нерерервної випадкових величин можна обчислити відповідно за формулами:

Використовуючи дисперсію для характеристики розсіювання випадкової величини, стикаємося з незручністю: якщо випадкова величина вимірюється в деяких одиницях, то дисперсія вимірюється у квадратах цих одиниць. Тому доцільно мати характеристику розсіювання значень випадкової величини тієї ж вимірності, що й сама величина. Такою характеристикою є середнє квадратичне відхилення. Означення. Середнім квадратичним відхиленням випадкової величини Х називається корінь квадратний із дисперсії D(X), тобто

Дисперсія має такі властивості

•Дисперсія будь-якої випадкової величини невід'ємна: D(X)≥0.

Доведення. Дисперсія – це математичне сподівання (середнє значення) невід'ємної випадкової величини D(X)=E(X-E(X))2.

•Дисперсія сталої величини дорівнює нулю, тобто якщо C=const, то D(C)=0.

•Сталий множник виноситься у квадраті за знак дисперсії, тобто якщо C=const, то D(CX)=C2D(X).

Доведення. D(CX)=E(CX)-E(CX))2=E(CX-CE(X))2=C2E(X-E(X))2=C2D(X).

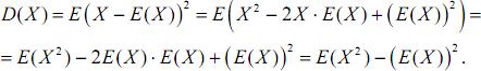
•Дисперсія випадкової величини дорівнює різниці між математичним сподіванням квадрата цієї величини і квадратом її математичного сподівання, тобто D(X)=E(X)2)-(E(X))2.

Доведення.

Дисперсія суми двох незалежних випадкових величин дорівнює сумі дисперсій цих величин, тобто D(X+Y)=D(X)+D(Y).

Доведення. Для незалежних випадкових величин Х і Y: E(XY)=E(X)·E(Y), тому

D(X+Y)=E(X+Y)2-(E(X+Y))2=E(X2)+2XY+Y2)-(E(X)+E(Y))2=E(X2)+2E(XY)+E(Y2)-E((X))2-2E(X)·E(Y)-(E(Y))2=E(X2)-E((X))2+E(Y2-E((Y))2=D(X)+D(Y).

•Дисперсія різниці двох незалежних випадкових величин дорівнює сумі дисперсій цих величин, тобто D(X-Y)=D(X)+D(Y).

•Якщо кожна з випадкових величин X1, X2,..., Xn не залежить від суми попередніх, то дисперсія суми цих величин дорівнює сумі їхніх дисперсій, тобто

D(X1+X2+...+Xn)=D(X1)+D(X2)+...+D(Xn).

Доведення. Досить застосувати метод математичної індукції і використати той факт, що дисперсія суми двох незалежних випадкових величин дорівнює сумі дисперсій цих величин.

Якщо випадкові величиниX1,X2,...,Xn– попарно незалежні, то дисперсія суми цих величин дорівнює сумі їхніх дисперсій:

D(X1+X2+...+Xn)=D(X1)+D(X2)+...+D(Xn).

Доведення. Досить повторити міркування, викладені у доведенні властивості D(X+Y)=D(X)+D(Y), замінивши у ньому формули квадрата суми двох доданків на формули квадрата суми n доданків.

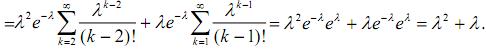
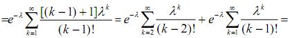
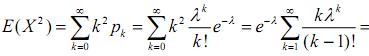
Дисперсія випадкової величини, розподіленої за законом Пуассона. Для випадкової величини Х, розподіленої за законом Пуассона,

Отже,

тобто як і математичне сподівання, дисперсія випадкової величини Х, розподіленої за законом Пуассона, рівна параметрові цього розподілу λ .

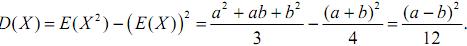
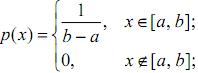
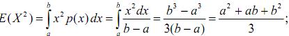
Дисперсія рівномірно розподіленої випадкової величини. Для випадкової величини Х, рівномірно розподіленої на проміжку [a, b],

Дисперсія випадкової величини, розподіленої за біномним законом. Так розподілена кількість успіхів µ в п випробуваннях за схемою Бернуллі, якщо ймовірність успіху в одному випробуванні дорівнює р i q=1-p. Позначимо через µk кількість успіхів у випробуванні під номером k. Тоді µ=µ12+...+µn, E(µk)=p, µk2k, оскільки кількість успіхів в одному випробуванні може набувати лише значень 1 або 0. Отже,

Випадкові величини µ12,...,µn− попарно незалежні (бо випробування за схемою Бернуллі є незалежними), тому

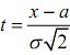
Математичне сподівання та дисперсія нормально розподілної випадкової величини. Нагадаємо, що неперервна випадкова величина Х називається розподіленою за нормальним законом з параметрами -∞‹a‹+∞ і 0>σ якщо її щільність розподілу має вигляд:

Обчислимо математичне сподівання випадкової величини Х. Для цього в інтегралi

зробимо заміну Тоді і враховуючи, що

одержимо:

Дисперсію обчислимо за формулою:

Знову зробимо заміну , і отриманий інтеграл проінтегруємо частинами, поклавши t=u 2te-t2=dv:

Отже, математичне сподівання і дисперсія нормально розподіленої випадкової величини відповідно дорівнюють a i σ2, тобто виражаються через параметри цього розподілу. Середнє квадратичне відхилення нормально розподіленої випадкової величини рівне параметрові σ цього розподілу:

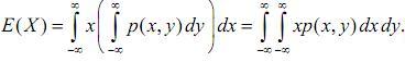
Математичне сподівання двовимірної випадкової величин

Нехай задано п-вимірну випадкову величину (X1,X2,...,Xn). Її математичним сподіванням називається n-вимірний вектоp

(E(X1),E(X2),...,E(Xn)),

E(Xk)− математичне сподівання випадкової величини E(Xk).

Розглянемо, зокрема, двовимірну неперервну випадкову величину (X, Y) з щільністю розподілу ймовірностей p(x, y). Якщо px(x), py(y) − щільності розподілу випадкових величин Х і Y, то згідно з означенням математичного сподівання одновимірної випадкової величини

Однак,

тому

Аналогічно отримаємо формулу для E(Y):

Дисперсія двовимірної випадкової величини. Коваріація, коефіцієнт кореляції та його властивості

Означення. Дисперсією (або дисперсійною матрицею) n-вимірної випадкової величини (X1,X2,...,Xn) називається сукупність n2 чисел, які визначаються формулами

Очевидно, що дисперсійна матриця симетрична: bik=bki.

Для двовимірної випадкової величини (X ,Y) дисперсією є сукупність 3-х чисел: b11, b22 i b12=b21. Перші два числа є дисперсіями компонент цієї випадкової величини b11=E((X-E(X))(X-E(X)))=E(X-E(X))2=D(X), b22=E(Y-E(Y))2=D(Y), а третя називається коваріацією випадкових величин Х і Y:

cov(X, Y)=E((X-E(X))(Y-E(Y))),

або після розкриття дужок:

cov(X, Y)=E(XY)+E(X(-E(Y)))+E(-E(X)·Y)+E(E(X)E(Y))=E(XY)-E(XY)-E(X)E(Y)+E(X)E(Y)=E(XY)-E(X)E(Y).

З отриманої формули випливає, що коваріація незалежних випадкових величин дорівнює нулю.

Зв'язок між дисперсією та коваріацією встановлюють формули:

cov(X,X)=D(X); D(X+Y)=D(X)+2cov(X,Y)+D(Y).

Справді,

D(X+Y)=E((X+Y)-E(X+Y))2=E((X-E(X))+(Y-E(Y)))2=E(X-E(X))2+2E((X-E(X))(Y-E(Y))2=D(X)+2cov(X,Y)+D(Y).

Використовуючи означення математичного сподівання, одержимо:

•для дискретного розподілу

•для неперервного розподілу

Коваріація двох випадкових величин Х і Y характеризує не тільки ступінь взаємозалежності цих випадкових величин, а й також їхнє розсіювання навколо точки (E(X),E(Y)) на площині.

Розмірність коваріації cov(X, Y)дорівнює добуткові розмірностей випадкових величин Х і Y. Для того, щоб отримати безрозмірну величину, до того ж таку, яка характеризує тільки залежність між випадковими величинами, а не їхнє розсіювання, вводиться поняття коефіцієнта кореляції.

Означення. Коефіцієнтом кореляції між випадковими величинами Х і Y називається відношення коваріації до добутку середніх квадратичних відхилень цих величин:

Розглянемо властивості коефіцієнта кореляції.

•Коефіцієнт кореляції незалежних випадкових величин дорівнює нулю. Доведення. Для незалежних випадкових величин Х і Y cov(X, Y)=0.

• Для будь-яких випадкових величин |ρ(X,Y)|≤1.

Доведення. Досить довести, що ρ2(X,Y)≤1, тобто

cov2(X,Y)≤D(X)D(Y).

Оскільки математичне сподівання невід'ємної випадкової величини невід'ємне, то для кожного дійсного числа t маємo E(t(X-E(X))-(Y-E(Y)))2≥0, тобто

t2·D(X)-2t·cov(X,Y)+D(Y)≥0.

У лівій частині цієї нерівності – квадратний тричлен відносно t з додатним коефіцієнтом при t2. Цей тричлен буде невід'ємним для всіх дійсних значень t тоді і лише тоді, коли його дискримінант недодатний:

4cov2(X,Y)-4D(X)D(Y)≤0,

отже, виконується нерівність (1).

•|ρ(X,Y)|=1 тоді і лише тоді, коли випадкові величини зв'язані лінійною залежністю Y=αX+β. Тоді

Доведення. (⇒) Нехай |ρ(X,Y)|=1, тобто cov2(X,Y)=D(X)D(Y), тому дискримінант квадратного тричлена у лівій частині нерівності (2) рівний нулю, і цей тричлен має двократний дійсний корінь

t=α=(cov(X,Y))/(D(X)).

Підставивши t=α у рівність E(t(X-E(X))-(Y-E(Y)))2=0, одержимо

E(αX-Y-E(αX-Y))2=0,

тобто D(αX-Y)=0. Це означає, що випадкова величина αX-Y є сталою, позначимо її через -β. Отже, αX-Y=-β, тому Y=αX+β. В (4) D(X)>0, тому числа α і cov(X,Y) мають однакові знаки. Але ж знак ρ(X,Y) визначається знаком cov(X,Y), а, отже, й знаком ,α тобто виконується (3).

(‹-) Нехай випадкові величини зв'язані лінійною залежністю Y=αX+β. Доведемо, що |ρ(X,Y)|=1, тобто cov2(X,Y)=D(X)D(Y).

Оскільки

E(Y)=E(αX+β)=αE(X)+β, Y-E(Y)=αX+β-αE(X)-β=α(X-E(X)),

то

cov(X,Y)=E((X-E(X))(Y-E(Y)))=E(α(X-E(X))2)=αD(X).

З другого боку, D(Y)=D(αX+β)=D(αX)+D(β)=α2D(X). Отже,

cov2(X,Y)=α2(D(X))2, D(X)D(Y)=D(X)·α2D(X)=α2(D(X))2,

тобто cov2(X,Y)=D(X)D(Y). Теорему доведено.

Модуль коефіцієнта кореляції випадкових величин Х і Y характеризує ступінь тісноти лінійної залежності між ними. Якщо лінійної залежності немає, то ρ(X,Y)=0. Якщо між випадковими величинами існує лінійна функціональна залежність Y=αX+β, то ρ(X,Y)=1 при α>0 і ρ(X,Y)=-1 при α‹0.

Означення. Дві випадкові величини Х і Y називаються корельованими, якщо ρ(X,Y)≠0 і некорельованими, якщо ρ(X,Y)=0.

Легко переконатися, що дві корельовані випадкові величини є також залежні (якщо припустимо від супротивного, що вони незалежні, то прийдемо до суперечності ρ(X,Y)=0). Обернене твердження правильне не завжди, тобто якщо дві випадкові величини залежні, то вони можуть бути як корельованими, так і некорельованими. Покажемо, зокрема, на прикладі, що може бути ρ(X,Y)=0) навіть для випадкових величин, зв'язаних функціональною залежністю, тобто з некорельованості випадкових величин не завжди випливає їхня незалежність.

Приклад.

Нехай випадкова величина Х рівномірно розподілена на проміжку [-1, 1], Y=X2. Тоді

Можна довести, що для нормально розподілених випадкових величин Х і Y некорельованість рівносильна незалежності.